Modulus of a vector

Modulus of a vector - Messages

#1 Posted: 4/19/2021 3:25:40 AM
JJJ

JJJ

0 likes in 13 posts.

Group: User

I want to calculate the magnitud or modulus of a vector. In mathcad I think is something like the name of the vector between four stripes.Thank you.
#2 Posted: 4/19/2021 5:25:50 AM
Davide Carpi

Davide Carpi

1,436 likes in 2,916 posts.

Group: Moderator

The magnitude of a vector can be calculated using norme()
If you like my plugins please consider to support the program buying a license; for personal contributions to me: paypal.me/dcprojects
#3 Posted: 4/19/2021 5:41:06 AM
JJJ

JJJ

0 likes in 13 posts.

Group: User

Hello Davide, thanks for your response. Do you have an example? I try to do that but I can´t, I don't know what I am doing bad. Thanks.
#4 Posted: 4/19/2021 6:34:15 AM
Davide Carpi

Davide Carpi

1,436 likes in 2,916 posts.

Group: Moderator

2021-04-19 11_33_38-SMath Studio - [Worksheet1_].png
If you like my plugins please consider to support the program buying a license; for personal contributions to me: paypal.me/dcprojects
#5 Posted: 4/19/2021 9:19:53 AM
Jean Giraud

Jean Giraud

983 likes in 6,866 posts.

Group: User

Wrote

I want to calculate the magnitude or modulus of a vector.


Euclidean.PNG
#6 Posted: 4/19/2021 9:34:05 AM
Jean Giraud

Jean Giraud

983 likes in 6,866 posts.

Group: User

Euclidean Algo.PNG
#7 Posted: 4/19/2021 10:34:23 PM
JJJ

JJJ

0 likes in 13 posts.

Group: User

Hello, thank you, I restarted my computer and now is ok.
As you know, sometimes the software is used with educational purposes, and if you define commands (such as norme and something like this) is a quite difficult to students. Is there a possibility, for example as is done in Mathcad, to define the norme command graphically (with two strips in both sides of the name of the vector)?.
Thank you very much.
#8 Posted: 4/20/2021 6:57:57 AM
Davide Carpi

Davide Carpi

1,436 likes in 2,916 posts.

Group: Moderator

Wrote

to define the norme command graphically (with two strips in both sides of the name of the vector)?.



Currently you can accomplish this by overriding the built-in abs function (as shown by Razonar here), and using it twice. Not straightforward for productivity but might be enough for documentation purposes.

2021-04-20 11_56_38-SMath Studio - [Worksheet1_].png
If you like my plugins please consider to support the program buying a license; for personal contributions to me: paypal.me/dcprojects
#9 Posted: 4/20/2021 9:06:33 AM
JJJ

JJJ

0 likes in 13 posts.

Group: User

Hello Davide,

Thank you very much, but I think that it would be a good idea to program and that it will be inside the software in future versions if possible, because it is a very useful tool.

Regards,

JJJ
#10 Posted: 4/20/2021 9:13:36 AM
Jean Giraud

Jean Giraud

983 likes in 6,866 posts.

Group: User

Wrote

Currently you can accomplish this by overriding the built-in abs function (as shown by Razonar here), and using it twice. Not straightforward for productivity but might be enough for documentation purposes.


Thanks Davide ... can you show an example that my post 5, 6 fail ?
So that I will update as proven.
Cheers ... Jean
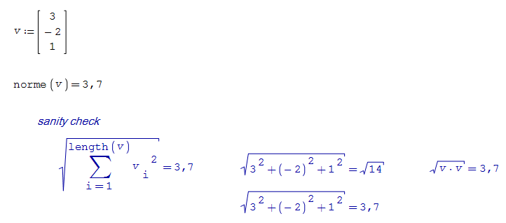
#11 Posted: 4/21/2021 6:31:19 AM
Davide Carpi

Davide Carpi

1,436 likes in 2,916 posts.

Group: Moderator

Wrote

Thanks Davide ... can you show an example that my post 5, 6 fail ?
So that I will update as proven.
Cheers ... Jean



Here you have.

magnitude.sm (11.13 KiB) downloaded 763 time(s).

2021-04-21 11_31_03-SMath Studio - [magnitude.sm].png
If you like my plugins please consider to support the program buying a license; for personal contributions to me: paypal.me/dcprojects
1 users liked this post
churichuro 4/21/2021 2:24:00 PM
#12 Posted: 4/21/2021 9:09:40 AM
Jean Giraud

Jean Giraud

983 likes in 6,866 posts.

Group: User

Wrote

Here you have.


... sanity algo style.
Thanks Davide ... Jean.

Euclidean Algo Sanity.PNG

  • New Posts
  • No New Posts