Solve.

Solve. - Systems of Equations - Messages

#1 Posted: 11/11/2016 3:20:35 PM
corradolvr

corradolvr

1 likes in 19 posts.

Group: User

I've done this before, but I can't figure out what I've done wrong here. I have another sheet that I use regularly and it's set up very similar, but this one just won't Solve.

Any help would be appreciated.Trailer and Crush Energy.sm (18.07 KiB) downloaded 772 time(s).
#2 Posted: 11/11/2016 4:10:29 PM
corradolvr

corradolvr

1 likes in 19 posts.

Group: User

Okay. I feel really dumb. I mistook my "W" for my "w". Unit analysis saves the day.

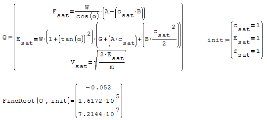
I'm still having issues though. After fixing the above issue, I need to force the positive solutions. I'm not sure how to do this. The positive solutions verify the test data I have.

dasdfaf.JPG
#3 Posted: 11/12/2016 3:00:50 AM
Jean Giraud

Jean Giraud

983 likes in 6,866 posts.

Group: User

GivenFind Unknown.gif
1 users liked this post
corradolvr 11/14/2016 1:06:00 PM
#4 Posted: 11/14/2016 1:05:37 PM
corradolvr

corradolvr

1 likes in 19 posts.

Group: User

That's great. Thank you very much. I've got it up and working, but I'm having a disconnect on my units. The answers are correct as per my hand calcs, but they don't come out with units attached. If I click in and just add my units, it converts to the correct number, but the units are not correct. I went through and did a unit analysis, and I can't find anything wrong. Also the answers and units come out correct when I used Solve and Assign.

#5 Posted: 11/14/2016 1:07:13 PM
corradolvr

corradolvr

1 likes in 19 posts.

Group: User

sdffdasdf.JPG
#6 Posted: 11/14/2016 1:22:22 PM
Davide Carpi

Davide Carpi

1,436 likes in 2,916 posts.

Group: Moderator

Just give the units to the initial values

2016-11-14 17_21_04-SMath Studio 0.98.6128 - [Traile and Crush Energy.sm_].png
If you like my plugins please consider to support the program buying a license; for personal contributions to me: paypal.me/dcprojects
1 users liked this post
corradolvr 11/14/2016 1:26:00 PM
#7 Posted: 11/14/2016 1:40:16 PM
corradolvr

corradolvr

1 likes in 19 posts.

Group: User

Perfect! Thank you all for the help.
  • New Posts
  • No New Posts