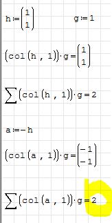
SMath Forum SMath Studio Bugs & Problems Wrong result when using function SUM() 1 Pages (3 items) Wrong result when using function SUM() - SUM() bug - Messages Go to last post #1 Posted: 6/12/2015 11:58:36 AM shelley 0 likes in 15 posts. Group: User Could anyone look at this problem? The summation could not recognize the negative sign.Please see the attached. Marked with yellow is not right. #2 Posted: 6/12/2015 5:10:52 PM Radovan Omorjan 325 likes and 1 dislikes in 2,052 posts. Group: Moderator Hello,This is again one of the weird SMath behavior regarding optimization.Just right click on at least a:=-h region and turn on Numeric optimizationRegards,Radovan When Sisyphus climbed to the top of a hill, they said: "Wrong boulder!" 2 users liked this postDavide Carpi 6/12/2015 6:04:00 PM, ioan92 6/13/2015 6:49:00 AM #3 Posted: 6/18/2015 4:35:11 PM shelley 0 likes in 15 posts. Group: User WroteHello,This is again one of the weird SMath behavior regarding optimization.Just right click on at least a:=-h region and turn on Numeric optimizationRegards,RadovanThank you. It works turning on numeric 1 Pages (3 items) New Posts No New Posts