1 Pages (9 items)
Cannot solve a matrix equation with the Maxima plug-in - Messages
#1 Posted: 6/13/2023 6:19:51 AM
Hi,
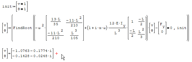
I'd like to solve the following equation involving matrices for unknown v and θ:

After inputting it in the format used by the Maxima plug-in I get the "no result" message:

Am I doing something wrong ?
Matrix equation.sm (8.59 KiB) downloaded 771 time(s).
I'd like to solve the following equation involving matrices for unknown v and θ:

After inputting it in the format used by the Maxima plug-in I get the "no result" message:

Am I doing something wrong ?
Matrix equation.sm (8.59 KiB) downloaded 771 time(s).
#2 Posted: 6/13/2023 8:42:27 AM
#3 Posted: 6/13/2023 9:18:31 AM
I think the problem is that the units don't match. Compare the units of the components of the two terms inside the brackets that multiply the [v; theta] vector.
#4 Posted: 6/13/2023 9:29:58 AM
WroteI think the problem is that the units don't match.
Compare the units of the components of the two terms inside the brackets
that multiply the [v; theta] vector.
FindRoots ignores Units. Code the image first.
Solve FindRoots Complex Forum.sm (11.09 KiB) downloaded 831 time(s).
#5 Posted: 6/13/2023 9:30:57 AM
Wrote
Thank you, I didn't know that I should use the Nonlinear Solvers plug-in instead of the Maxima one.
It works now but the result is surprising. It should be something like v = - 0.021020 for the real part with this input data.
Wrote
I think the problem is that the units don't match. Compare the units of the components of the two terms inside the brackets that multiply the [v; theta] vector.
I also suspected the units initially but it didn't work without them either.
#6 Posted: 6/13/2023 11:17:16 AM
I also suspected the units initially but it didn't work without them either.
In order to be able to add the two terms they must have the same units. However, omega^2*L doesn't have the same units as EI/L^3. The omega^2*... term seems to be missing a linear mass density (kg/m).
The fact that you might be able to get a numerical result by simply removing the units is irrelevant.
#7 Posted: 6/13/2023 2:55:41 PM
Wrote
In order to be able to add the two terms they must have the same units. However, omega^2*L doesn't have the same units as EI/L^3. The omega^2*... term seems to be missing a linear mass density (kg/m).
The fact that you might be able to get a numerical result by simply removing the units is irrelevant.
Right, I was wondering why density/mass is not included in that equation. Especially since it's included in the equation for tension (the one here is for bending): https://code-aster.org/V2/doc/v13/en/man_v/v2/v2.06.101.pdf
Maybe it's a typo and the density should be added before the first omega. Or omega means something different than I assumed (angular frequency).
Edit: I tried calculating mass per unit length based on the density and cross-section area provided in the document and then multiplying it by omega^2 but the result is v = 0,0175 which is still far from the expected value.
#8 Posted: 6/13/2023 4:34:30 PM
Besides correction of the unit mismatch, Solve seems to want the matrix equation in homogeneous form.

Matrix equation_Kr.sm (14.1 KiB) downloaded 768 time(s).

Matrix equation_Kr.sm (14.1 KiB) downloaded 768 time(s).
Martin KraskaPre-configured portable distribution of SMath Studio: https://en.smath.info/wiki/SMath%20with%20Plugins.ashx
#9 Posted: 6/13/2023 6:25:48 PM
1 Pages (9 items)
- New Posts
- No New Posts
