1 Pages (5 items)
Smath Solver - Messages
#1 Posted: 1/21/2022 6:45:25 AM
Hi,
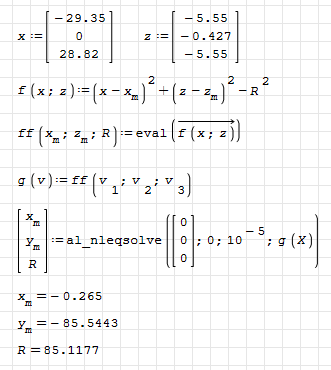
Im trying convert this mathcad solver to smath but it doesnt work.
Radius_318a.sm (9.34 KiB) downloaded 813 time(s).

Im trying convert this mathcad solver to smath but it doesnt work.
Radius_318a.sm (9.34 KiB) downloaded 813 time(s).
#2 Posted: 1/21/2022 11:44:53 AM
It is a non-linear system. With the internal "Roots" solver it is appropriate to use initial values sufficiently close to the result.
You can use some of the smath plugins that are more robust. For example, with "Solve" of the "Maxima plugin you get the result.
Radius_318a_ser.sm (337.14 KiB) downloaded 877 time(s).
sergio
You can use some of the smath plugins that are more robust. For example, with "Solve" of the "Maxima plugin you get the result.
Radius_318a_ser.sm (337.14 KiB) downloaded 877 time(s).
sergio
#3 Posted: 1/21/2022 5:30:18 PM
#4 Posted: 1/21/2022 8:59:15 PM
1 Pages (5 items)
- New Posts
- No New Posts


