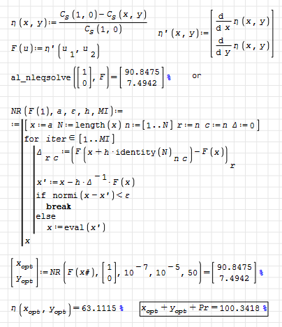
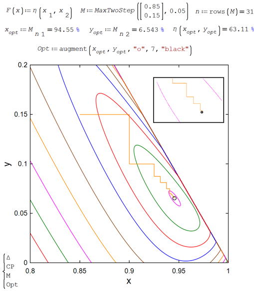
SMath Forum SMath Studio Samples Two-Step-Optimization 1 Pages (2 items) Two-Step-Optimization - y(x1 ,x2, x3...) - Messages Go to last post #1 Posted: 4/27/2023 3:08:15 AM Valery Ochkov 62 likes in 670 posts. Group: User Do you know more correct method?8-28-33-St-Isp.sm (63.66 KiB) downloaded 810 time(s). #2 Posted: 4/27/2023 1:48:42 PM Alvaro Diaz Falconi 1,076 likes in 1,748 posts. Group: User WroteDo you know more correct method?This one?Best regards.Alvaro. 1 Pages (2 items) New Posts No New Posts