Isotherm

Isotherm - How to draw it in h-s diagram - Messages

#1 Posted: 5/20/2024 6:28:22 PM
Valery Ochkov

Valery Ochkov

62 likes in 670 posts.

Group: User

File not found.File not found.
h-s-diagram-Steam.png
#2 Posted: 5/21/2024 12:44:16 AM
Alvaro Diaz Falconi

Alvaro Diaz Falconi

1,076 likes in 1,749 posts.

Group: User

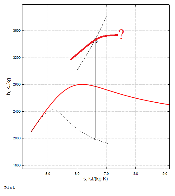
Hi. Comparing the result with the other water compound implementation.

isot-plot.png

isot.png

h-s-diagram-Steam.sm (28.14 KiB) downloaded 797 time(s).

Best regards.
Alvaro.
1 users liked this post
Valery Ochkov 5/21/2024 1:34:00 AM
#3 Posted: 5/21/2024 1:38:28 AM
Valery Ochkov

Valery Ochkov

62 likes in 670 posts.

Group: User

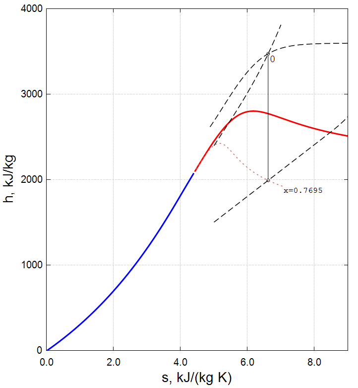
My solution. Now I'm thinking about isochore and second isotherm.
h-s-diagram-Steam.sm (31.02 KiB) downloaded 840 time(s).
h-s-diagram-Steam.png
#4 Posted: 5/21/2024 11:03:47 AM
Valery Ochkov

Valery Ochkov

62 likes in 670 posts.

Group: User

With Mathcad Prime and WaterSteamPro
h-s-diagram-Steam-Mathcad-Prime.png
#5 Posted: 5/22/2024 5:06:11 PM
Valery Ochkov

Valery Ochkov

62 likes in 670 posts.

Group: User

New version
h-s-diagram-Steam.sm (41.67 KiB) downloaded 815 time(s).
h-s-diagram-Steam.png
  • New Posts
  • No New Posts