1 Pages (7 items)
How to expand a function into Taylor series? - Messages
#1 Posted: 1/9/2021 10:48:23 AM
#2 Posted: 1/9/2021 10:54:22 AM
WroteI can do in mathcad Prime
How to do it in SMath Studio?
I see no interest, why ?
cos(x) is coded in Windows on Padé normalized rational fraction,
lot more stable and free of Taylor obsolete expansion.
If you insist, will check your curiosity.
Cheers ... Jean
#3 Posted: 1/9/2021 11:18:30 AM
WroteWroteI can do in mathcad Prime
How to do it in SMath Studio?
I see no interest, why ?
cos(x) is coded in Windows on Padé normalized rational fraction,
lot more stable and free of Taylor obsolete expansion.
If you insist, will check your curiosity.
Cheers ... Jean
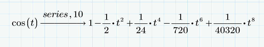
I just want to know how in the Smath, and cos(x) is just a simple example, it doen't necessarily mean I will use Taylor series for cos(x).
I found Taylor, but I don't know why it doesn't work.

#4 Posted: 1/9/2021 12:00:35 PM
WroteI found Taylor, but I don't know why it doesn't work.
simply not cracked in Smath ... from what I tried.
#5 Posted: 1/9/2021 12:10:52 PM
Wrote...
I found Taylor, but I don't know why it doesn't work.
...
Hi. First, because "Taylor" isn't the maple command, it is "taylor", in lowercase. Second, because maple returns the answer with an "O" notation. You can use convert/polynom to get a result that SMath can handle.

SMath' maple plugin use version 6; here you can find two maple manuals, but for maple 7: https://www.maplesoft.com/documentation_center/history.aspx
Best regards.
Alvaro.
#6 Posted: 1/9/2021 1:16:47 PM
#7 Posted: 1/9/2021 2:10:47 PM
... few more that may be useful.
Symbolic Convert Parfrac Primary FNCTS.sm (118.96 KiB) downloaded 795 time(s).
Symbolic Convert Parfrac Primary FNCTS.sm (118.96 KiB) downloaded 795 time(s).
1 Pages (7 items)
- New Posts
- No New Posts
