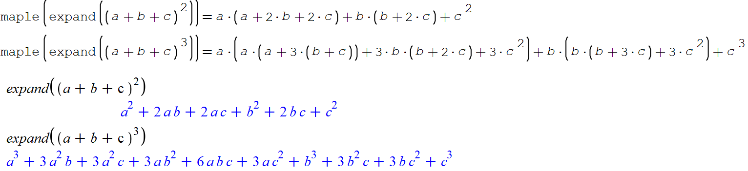
SMath Forum SMath Studio Questions Expand 1 Pages (2 items) Expand - How to get - Messages Go to last post #1 Posted: 8/5/2023 3:22:50 AM Valery Ochkov 62 likes in 670 posts. Group: User How in SMath get the answer as in MapleThanks #2 Posted: 8/5/2023 5:47:20 AM Вячеслав Мезенцев 1,531 likes in 1,838 posts. Group: Moderator Russia ☭ forever, Viacheslav N. Mezentsev 1 users liked this postValery Ochkov 8/5/2023 7:02:00 AM 1 Pages (2 items) New Posts No New Posts