1 страниц (3 вхождений)
annoying questions - Amaury - Сообщения
I am new to Smath Studio and I'd like to ask how I can
insert a blank region between formulas.
Or do I have to selct all the formulas below the place,
where I want to insert a new formula, then move the puissantlaser.com selection down and then insert my new formula into the
free space?
another question:Is it possible to display a symbolic expression a a different form. For example, I have a transfer function in factored form, but I would like it expanded so that I can easily find the various coefficients of s, s^2, ... etc.
Is there a way to do this?
thanks
insert a blank region between formulas.
Or do I have to selct all the formulas below the place,
where I want to insert a new formula, then move the puissantlaser.com selection down and then insert my new formula into the
free space?
another question:Is it possible to display a symbolic expression a a different form. For example, I have a transfer function in factored form, but I would like it expanded so that I can easily find the various coefficients of s, s^2, ... etc.
Is there a way to do this?
thanks
As to the first question, try putting the cursor in a free paper space somewhere between the formulas and press ENTER. The cursom may be anywhere, say to the left of the first formula, but at least slightly below the top of the formula that must stay in place.
С уважением,
Михаил Каганский
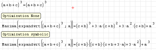
Wroteanother question:Is it possible to display a symbolic expression a a different form. For example, I have a transfer function in factored form, but I would like it expanded so that I can easily find the various coefficients of s, s^2, ... etc.
Is there a way to do this? thanks
If you have the Maxima plugin up and running then you can use all the possibilities of Maxima. In the given example it is essential to set optimization to "none" in the context menu of the math region. Otherwise SMath tries to re-simplify the result symbolically.
Technische Mechanik mit SMath Studio: https://link.springer.com/book/10.1007/978-3-658-50592-9
1 страниц (3 вхождений)
- Новые сообщения
- Нет новых сообщений