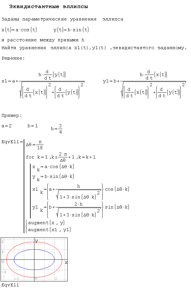
Форум SMath SMath Studio Примеры использования Построение графика эллипс-бублик 1 страниц (3 вхождений) Построение графика эллипс-бублик - DashaScerbina - Сообщения К последнему сообщению #1 Опубликовано: 28.03.2013 15:00:56 DashaScerbina 0 сообщений из 1 понравились пользователям. Группа: User Как построить на плоскости эллипс,но с дыркой посередине,типа бублика,но эллипс-бублик? #2 Опубликовано: 29.03.2013 04:11:21 Fridel Selitsky 256 сообщений из 225 понравились пользователям. Группа: Moderator WroteКак построить на плоскости эллипс,но с дыркой посередине,типа бублика,но эллипс-бублик? Eqvidist.smz (3,73 КиБ) скачан 921 раз(а). Метод расчета рычажных механизмов :http://www.exponenta.ru/educat/systemat/selitskiy-ivanov/index.asp 1 пользователям понравился этот постSerg 25.01.2014 13:21:00 #3 Опубликовано: 30.03.2013 12:58:52 алексей 17 сообщений из 78 понравились пользователям. Группа: User Ещё вот такие случаются бублики. Но этот выпечен в Maple. (Эквидистанта красная…) 1 пользователям понравился этот постFridel Selitsky 08.01.2014 05:16:00 1 страниц (3 вхождений) Новые сообщения Нет новых сообщений