Solving an eqaution - Сообщения
I have an equation (sphere and cubic Bézier curve intersection points): B(t) ⋅ B(t) = r², where dot means vector dot product.
B(t) is a cubic Bézier curve:
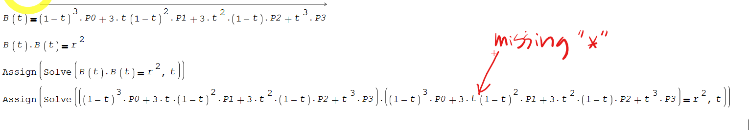
B(t) = (1 − t)³ ⋅ P0 + 3t ⋅ (1 − t)² ⋅ P1 + 3t² ⋅ (1 − t) ⋅ P2 + t³ ⋅ P3, 0 ≤ t ≤ 1
P0, P1, P2, P3 are some known points, к is some known value too.
Is it possible to solve this using SMath while keeping constants as letters?
Bézier/Hermite ... lot in Smath.
Cheers ... Jean.
WrotePlease attach your Smath document.
Bézier/Hermite ... lot in Smath.
Cheers ... Jean.
https://ru.smath.com/cloud/sheet/ao2a4mLPSz
Well, not much in there, I don't know how to write the equation in it. I am new to SMath, and used only MathCAD a few times, like, 13-14 years ago...
WroteWrotePlease attach your Smath document.
Bézier/Hermite ... lot in Smath.
Cheers ... Jean.
https://ru.smath.com/cloud/sheet/ao2a4mLPSz
Well, not much in there, I don't know how to write the equation in it. I am new to SMath, and used only MathCAD a few times, like, 13-14 years ago...
"Error. There is no Worksheet found."
Please upload your sm file to any cloud service a share the link
Regards,
Oscar
WroteWroteWrotePlease attach your Smath document.
Bézier/Hermite ... lot in Smath.
Cheers ... Jean.
https://ru.smath.com/cloud/sheet/ao2a4mLPSz
Well, not much in there, I don't know how to write the equation in it. I am new to SMath, and used only MathCAD a few times, like, 13-14 years ago...
"Error. There is no Worksheet found."
Please upload your sm file to any cloud service a share the link
Regards,
Oscar
Sphere and cubic Bezier curve intersection points.sm (10,28 КиБ) скачан 767 раз(а).
WrotePlease attach your Smath document.
Sphere and cubic Bezier curve intersection points.sm (10,28 КиБ) скачан 767 раз(а).
You must use Symbolic evaluation to solve your equation, additionally, you can use some plugin for this task (in my case I used the Maxima plugin).
Please see attached file:
Sphere and Cubic.sm (215,02 КиБ) скачан 786 раз(а).
Every other smath solvers [solve(), roots(), FindRoot(), al_nleqsolve(), etc] are numerical solvers.
Could someone correct this statement if it is not true?
Regards
WroteAll those kind of symbolic solvings require either Maxima or Maple plugin as far as I know.
Every other smath solvers [solve(), Roots(), al_nleqsolve(), etc] are numerical solvers.
Could someone correct this statement if it is not true?
Regards
yes, that's correct, you can check the description of solve(), roots(), al_nleqsolve(), etc on the Interactive SMath Handbook
Sphere and Cubic.sm (8,86 КиБ) скачан 747 раз(а).

Best regards.
Alvaro.
WroteWrotePlease attach your Smath document.
Sphere and cubic Bezier curve intersection points.sm (10,28 КиБ) скачан 767 раз(а).
You must use Symbolic evaluation to solve your equation, additionally, you can use some plugin for this task (in my case I used the Maxima plugin).
Please see attached file:
Sphere and Cubic.sm (215,02 КиБ) скачан 786 раз(а).
There is missing «²» after second parentheses in your file. And I downloaded SMath and Maxima, but when I open your file, I get an error: «Cannot find maxima.bat».
Sphere and cubic Bezier curve intersection points.sm (3,77 КиБ) скачан 786 раз(а).
Wrote
...
There is missing «²» after second parentheses in your file. And I downloaded SMath and Maxima, but when I open your file, I get an error: «Cannot find maxima.bat».
Sphere and cubic Bezier curve intersection points.sm (3,77 КиБ) скачан 786 раз(а).
Please refer to Maxima plugin instructions, you can find here
WroteWrote
...
There is missing «²» after second parentheses in your file. And I downloaded SMath and Maxima, but when I open your file, I get an error: «Cannot find maxima.bat».
Sphere and cubic Bezier curve intersection points.sm (3,77 КиБ) скачан 786 раз(а).
Please refer to Maxima plugin instructions, you can find here
OK, I've fixed the error, but now it says: «r is undefined». Sorry, it's really hard to understand what to do and I can't find any proper docs about it...
Sphere and cubic Bezier curve intersection points.sm (4,62 КиБ) скачан 759 раз(а).
Sphere and cubic Bezier curve intersection points.sm (12,04 КиБ) скачан 786 раз(а).
WroteI really don't get what's wrong now...
Sphere and cubic Bezier curve intersection points.sm (12,04 КиБ) скачан 786 раз(а).
There is a missing "*"

WroteWroteI really don't get what's wrong now...
Sphere and cubic Bezier curve intersection points.sm (12,04 КиБ) скачан 786 раз(а).
There is a missing "*"
Thank you! But what should I do with «r is undefined»? 🤔
You must right-click over your equation, then choose Optimization-Symbolic
WroteAre you sure you are using the option "Symbolic Optimization"?
You must right-click over your equation, then choose Optimization-Symbolic
Thank you very much! It worked! However, the roots are so long... Not sure I can use them... Thanks anyway! 😊
Best regards.
Alvaro.
WroteI have an equation (sphere and cubic Bézier curve intersection points):
Didn't see the sphere ?
Bézier is a 2 D plot
I don't understand your project, will leave.
You can project Bézier as surface plot on the sphere,
at this point, all 'N' are roots.
Enjoy/ignore ... Jean.
Page6 Bezier.sm (30,64 КиБ) скачан 886 раз(а).
WroteDidn't see the sphere ?
Bézier is a 2 D plot
I don't understand your project, will leave.
You can project Bézier as surface plot on the sphere,
at this point, all 'N' are roots.
Enjoy/ignore ... Jean.
Not related with topic. Nice example to Bezier however no relation with question.
Seeing Bezier in question doesn't mean you can search your files and post your first match Bezier example.
- Новые сообщения
- Нет новых сообщений