1 страниц (9 вхождений)
Why we have an error in this SM-sheet - In Mathcad Prime all is OK - Сообщения
Predochistka.sm (54,45 КиБ) скачан 955 раз(а).
t is undefined. And why do you have [SO₄‾‾].исх as an argument twice?
Hi. For starting, the vertical bars in the while condition are not for absolute value, but for determinant.
Best regards.
Alvaro.
Best regards.
Alvaro.
WroteHi. For starting, the vertical bars in the while condition are not for absolute value, but for determinant.
Best regards.
Alvaro.
Thanks, Alvaro!
I have corrected but new error message
Predochistka.sm (59,97 КиБ) скачан 929 раз(а).
Hi Valery. I guess that it has some minor issues about units and with variable redefinitions inside of the body of procedures.
Predochistka.sm (65,34 КиБ) скачан 935 раз(а).
Best regards.
Alvaro.
Predochistka.sm (65,34 КиБ) скачан 935 раз(а).
Best regards.
Alvaro.
1 пользователям понравился этот пост
Valery Ochkov 14.12.2023 15:09:00
WroteHi Valery. I guess that it has some minor issues about units and with variable redefinitions inside of the body of procedures.
Predochistka.sm (65,34 КиБ) скачан 935 раз(а).
Best regards.
Alvaro.
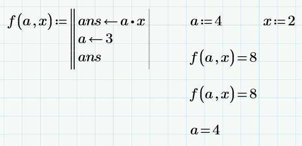
I call the function one more and get an error. Why?

Predochistka-Err.sm (62,61 КиБ) скачан 931 раз(а).
1 страниц (9 вхождений)
- Новые сообщения
- Нет новых сообщений



