1 страниц (8 вхождений)
Transfer function - Is there a transfer function in Smath? - Сообщения
Hello. Can I calculate some transfer function in Smath?
W(p)= 1 / (T*p+1) - for example
W(p)= 1 / (T*p+1) - for example
WroteHello. Can I calculate some transfer function in Smath?
W(p)= 1 / (T*p+1) - for example
Hi. You can try the maple plugin: maple(inttrans[laplace](sin(t),t,s)) or this
Best regards.
Russia ☭ forever, Viacheslav N. Mezentsev
Непонятно что именно нужно сделать. Надо более точно сформулировать задачу.
Набить формулы не сложно - нижний индекс вводится при помощи точки. Греческие символы доступны в панели инструментов.

Matematika_v_SMath_Studio_Uchebnoe_posobie_2022.pdf (3,8 МиБ) скачан 1582 раз(а).
Набить формулы не сложно - нижний индекс вводится при помощи точки. Греческие символы доступны в панели инструментов.

Matematika_v_SMath_Studio_Uchebnoe_posobie_2022.pdf (3,8 МиБ) скачан 1582 раз(а).
Russia ☭ forever, Viacheslav N. Mezentsev
WroteHello. Can I calculate some transfer function in Smath?
W(p)= 1 / (T*p 1) - for example
Your function is an ordinary hyperbolic function.
It is not a transfer function.
A Transfer Function [XFR] is the graphical representation
of a dependent phenomenon subjected to an impulse step.
It is represented in term(s) of Laplace algebra,
then processed via maple of else compatible CAS.
That said, an XFR always starts @ 0, then asymptotic to impulse.
Minimalist example demo.
WroteНепонятно что именно нужно сделать. Надо более точно сформулировать задачу.
Набить формулы не сложно - нижний индекс вводится при помощи точки. Греческие символы доступны в панели инструментов.
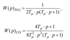
Да, какую-то ерунду я спросил, дав за образец уже готовое преобразованное уравнение)) Возможно ли сократить это выражение в Smath или посчитать его в виде дроби в конце. Что-то в итоге: 0,34Зр/274+р+1, как делает матлаб
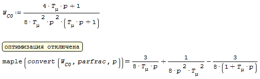
Использовать maple(covert(W(p),parfrac,p)) или maple(covert(W(p),fullparfrac,p)).

maple-covert-parfrac.sm (4,63 КиБ) скачан 755 раз(а).

maple-covert-parfrac.sm (4,63 КиБ) скачан 755 раз(а).
Russia ☭ forever, Viacheslav N. Mezentsev
1 пользователям понравился этот пост
TopUser2000 03.04.2023 10:29:00
1 страниц (8 вхождений)
- Новые сообщения
- Нет новых сообщений