1 Pages (7 items)
Euler method without for - With vectors - Messages
#1 Posted: 12/24/2023 1:26:58 PM
I can’t figure out how to implement Euler method for solving ODEs without a for cycle - only with vectors.
Help please.
Rocket-s-Euler-vectors.sm (28.07 KiB) downloaded 963 time(s).
Help please.
Rocket-s-Euler-vectors.sm (28.07 KiB) downloaded 963 time(s).
#2 Posted: 12/24/2023 7:07:27 PM
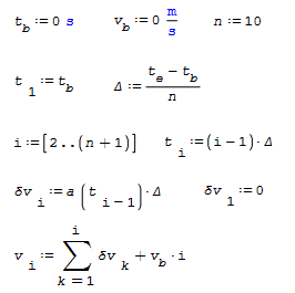
Like this:

Rocket-s-Euler-vectors_b.sm (31.29 KiB) downloaded 960 time(s).
Correction: The term yb*i should just be yb.

Rocket-s-Euler-vectors_b.sm (31.29 KiB) downloaded 960 time(s).
Correction: The term yb*i should just be yb.
1 users liked this post
Valery Ochkov 12/24/2023 7:25:00 PM
#3 Posted: 12/24/2023 7:26:31 PM
Thanks.
But I need without the line operator!
But I need without the line operator!
#4 Posted: 12/24/2023 8:22:39 PM
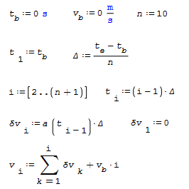
Even simpler!

Rocket-s-Euler-vectors_c.sm (30.2 KiB) downloaded 920 time(s).
Correction: The term vb*i should just be vb

Rocket-s-Euler-vectors_c.sm (30.2 KiB) downloaded 920 time(s).
Correction: The term vb*i should just be vb
#5 Posted: 12/24/2023 11:26:20 PM
WroteI canât figure out how to implement Euler method for solving ODEs without a for cycle - only with vectors.
Help please.
Further, you would have to collect pairwise.
Euler is a poor integrator vs the yardstick rkf4 [Fehlberg].
On my test function Euler deviates up to 0.07 ... damned inaccurate !
Jean
1 users liked this post
Valery Ochkov 12/25/2023 4:24:00 PM
#6 Posted: 12/25/2023 12:17:24 AM
WroteWroteI canât figure out how to implement Euler method for solving ODEs without a for cycle - only with vectors.
Help please.
Further, you would have to collect pairwise.
Euler is a poor integrator vs the yardstick rkf4 [Fehlberg].
On my test function Euler deviates up to 0.07 ... damned inaccurate !
Jean

1 Pages (7 items)
- New Posts
- No New Posts
