1 страниц (7 вхождений)
Euler method without for - With vectors - Сообщения
I can’t figure out how to implement Euler method for solving ODEs without a for cycle - only with vectors.
Help please.
Rocket-s-Euler-vectors.sm (28,07 КиБ) скачан 972 раз(а).
Help please.
Rocket-s-Euler-vectors.sm (28,07 КиБ) скачан 972 раз(а).
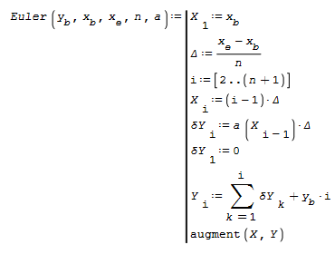
Like this:

Rocket-s-Euler-vectors_b.sm (31,29 КиБ) скачан 971 раз(а).
Correction: The term yb*i should just be yb.

Rocket-s-Euler-vectors_b.sm (31,29 КиБ) скачан 971 раз(а).
Correction: The term yb*i should just be yb.
1 пользователям понравился этот пост
Valery Ochkov 24.12.2023 19:25:00
Thanks.
But I need without the line operator!
But I need without the line operator!
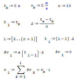
Even simpler!

Rocket-s-Euler-vectors_c.sm (30,2 КиБ) скачан 929 раз(а).
Correction: The term vb*i should just be vb

Rocket-s-Euler-vectors_c.sm (30,2 КиБ) скачан 929 раз(а).
Correction: The term vb*i should just be vb
WroteI canât figure out how to implement Euler method for solving ODEs without a for cycle - only with vectors.
Help please.
Further, you would have to collect pairwise.
Euler is a poor integrator vs the yardstick rkf4 [Fehlberg].
On my test function Euler deviates up to 0.07 ... damned inaccurate !
Jean
1 пользователям понравился этот пост
Valery Ochkov 25.12.2023 16:24:00
WroteWroteI canât figure out how to implement Euler method for solving ODEs without a for cycle - only with vectors.
Help please.
Further, you would have to collect pairwise.
Euler is a poor integrator vs the yardstick rkf4 [Fehlberg].
On my test function Euler deviates up to 0.07 ... damned inaccurate !
Jean

1 страниц (7 вхождений)
- Новые сообщения
- Нет новых сообщений
