1 Pages (6 items)
How to do it in SMath? - Messages
#1 Posted: 2/12/2024 8:49:16 PM
#2 Posted: 2/12/2024 10:44:45 PM
#3 Posted: 2/13/2024 1:33:37 AM
As suggested ... remembering Imaginary is the Derivative
Worksheet104.sm (9.66 KiB) downloaded 864 time(s). ... Please, let me know if working ... Jean
Worksheet104.sm (9.66 KiB) downloaded 864 time(s). ... Please, let me know if working ... Jean
#5 Posted: 2/13/2024 3:58:14 AM
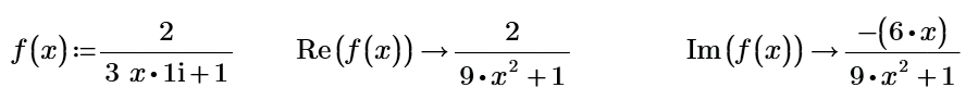
Maybe, Re() and Im() are worth adding to MaximaTakeover? Yet wrapping in Maxima() does the trick for now.

ReIm.sm (3.95 KiB) downloaded 827 time(s).

ReIm.sm (3.95 KiB) downloaded 827 time(s).
Martin KraskaPre-configured portable distribution of SMath Studio: https://en.smath.info/wiki/SMath%20with%20Plugins.ashx
1 users liked this post
Valery Ochkov 2/13/2024 2:13:00 PM
1 Pages (6 items)
- New Posts
- No New Posts


