1 страниц (6 вхождений)
How to do it in SMath? - Сообщения
As suggested ... remembering Imaginary is the Derivative
Worksheet104.sm (9,66 КиБ) скачан 863 раз(а). ... Please, let me know if working ... Jean
Worksheet104.sm (9,66 КиБ) скачан 863 раз(а). ... Please, let me know if working ... Jean
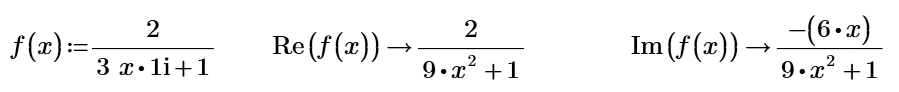
Maybe, Re() and Im() are worth adding to MaximaTakeover? Yet wrapping in Maxima() does the trick for now.

ReIm.sm (3,95 КиБ) скачан 826 раз(а).

ReIm.sm (3,95 КиБ) скачан 826 раз(а).
Martin KraskaPre-configured portable distribution of SMath Studio: https://en.smath.info/wiki/SMath%20with%20Plugins.ashx
1 пользователям понравился этот пост
Valery Ochkov 13.02.2024 14:13:00
WroteMaybe, Re() and Im() are worth adding to MaximaTakeover? Yet wrapping in Maxima() does the trick for now.
ReIm.sm (3,95 КиБ) скачан 826 раз(а).
I assumed so!
1 страниц (6 вхождений)
- Новые сообщения
- Нет новых сообщений


