1 страниц (4 вхождений)
3D plot CKO(a, b) - I have two 2D plots, but not one 3D plot - Сообщения
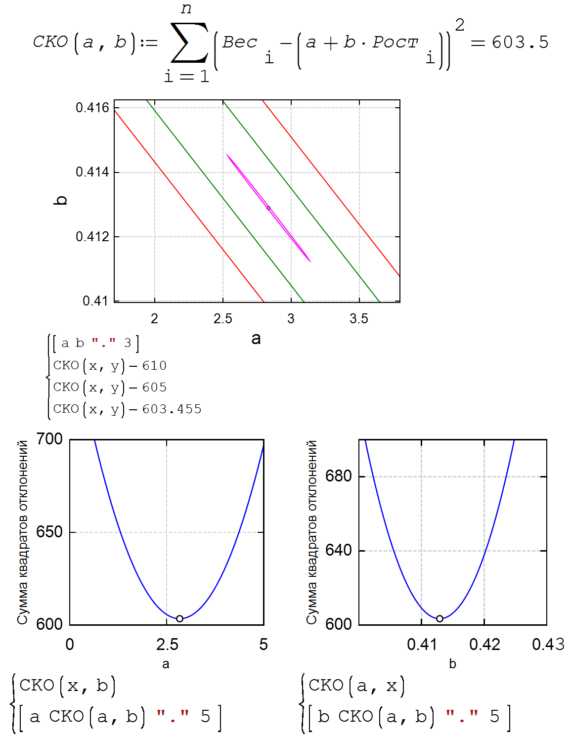
I have two 2D plots, but not one 3D plot with the minimum point.
Help please!
6-1-Mister-Class.sm (21,77 КиБ) скачан 888 раз(а).
Help please!
6-1-Mister-Class.sm (21,77 КиБ) скачан 888 раз(а).
WroteHi Valery. This is a way.
6-1-Mister-Class.sm (27,39 КиБ) скачан 881 раз(а).
Best regards.
Alvaro.
Thanks, but better so - a counter plot
6-1-Mister-Class.sm (30,03 КиБ) скачан 867 раз(а).

Hi. Choosing CKO as z and using small ranges.
6-1-Mister-Class 3D.sm (41,91 КиБ) скачан 894 раз(а).

Best regards.
Alvaro.
6-1-Mister-Class 3D.sm (41,91 КиБ) скачан 894 раз(а).

Best regards.
Alvaro.
1 пользователям понравился этот пост
Valery Ochkov 12.10.2023 14:53:00
1 страниц (4 вхождений)
- Новые сообщения
- Нет новых сообщений