1 страниц (7 вхождений)
How to obtain the Peak of this example? - Сообщения
Hi, guys:
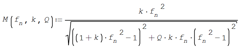
Here is a formula

And the Targets are:
1. Draw the plot, but only the first quadrant is required.
2. Find the value of fn when M is maximum.
3. Find the maximum value of M.
I did the 1st target successfully, but can not find the values of fn and M. I have tried my best and search the forum but could not find any way to fix it. Please help to fix it, Thank you very much!

=====================

=====================
LLC.sm (12,37 КиБ) скачан 713 раз(а).
Here is a formula

And the Targets are:
1. Draw the plot, but only the first quadrant is required.
2. Find the value of fn when M is maximum.
3. Find the maximum value of M.
I did the 1st target successfully, but can not find the values of fn and M. I have tried my best and search the forum but could not find any way to fix it. Please help to fix it, Thank you very much!

=====================

=====================
LLC.sm (12,37 КиБ) скачан 713 раз(а).
WroteWrotePlease help to fix it, Thank you very much!
You need the Golden ratio ... doctored version.
If the function is a data set, spline/smooth the region
... as well the FindIndex is a good utility.
Cheers ... Jean
LLC Doctored for MAX.sm (27,88 КиБ) скачан 668 раз(а).
Golden ratio QUICK Copy.sm (123,8 КиБ) скачан 677 раз(а).
wow!I think I understand, it is very useful, thank you very much!
The built-in functions are perfectly well suited for the purpose. You just need to separate differentiation from root finding.

LLC.sm (11,01 КиБ) скачан 691 раз(а).

LLC.sm (11,01 КиБ) скачан 691 раз(а).
Martin KraskaPre-configured portable distribution of SMath Studio: https://en.smath.info/wiki/SMath%20with%20Plugins.ashx
2 пользователям понравился этот пост
1 страниц (7 вхождений)
- Новые сообщения
- Нет новых сообщений

